通知公告

通知公告

通知公告

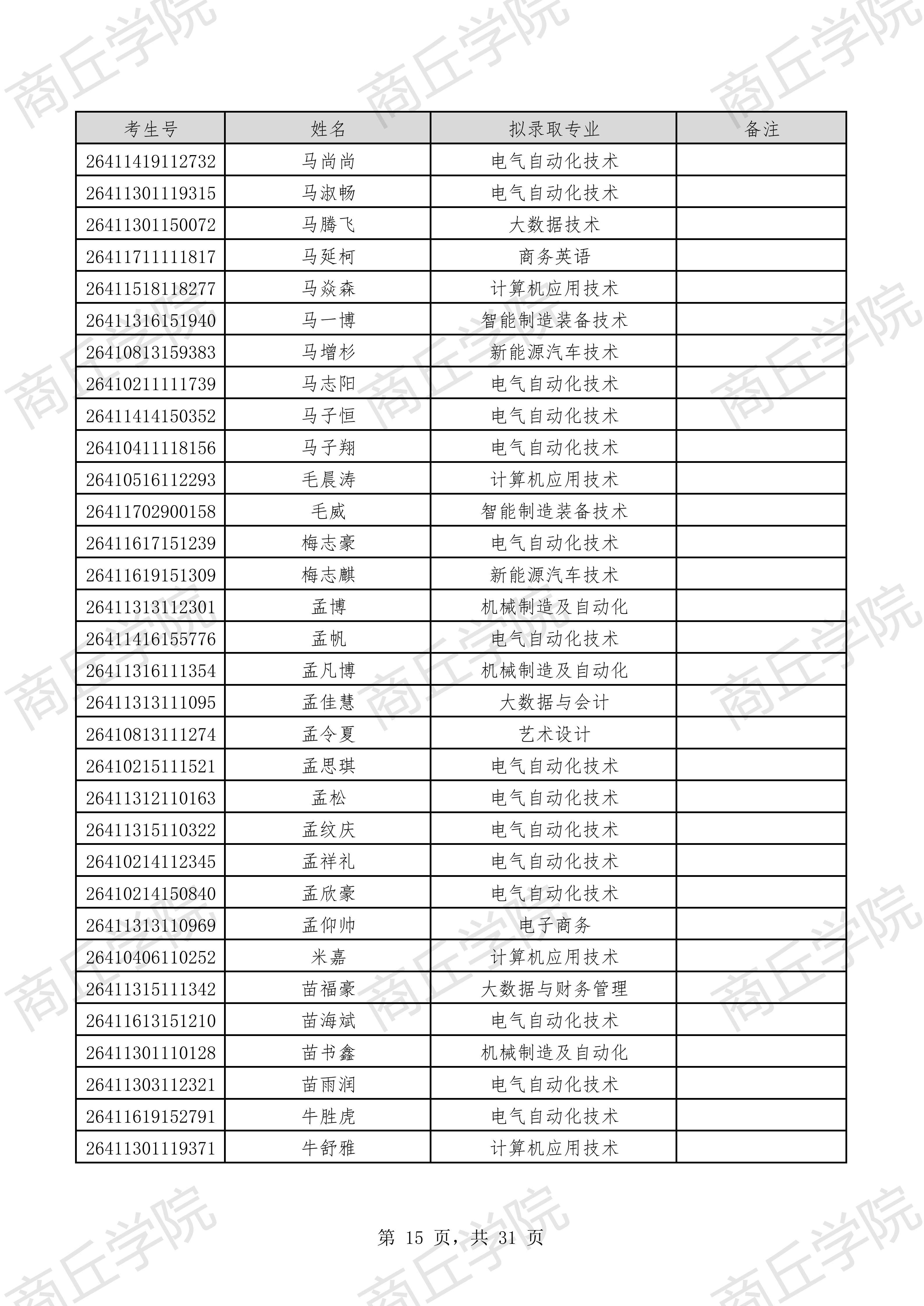
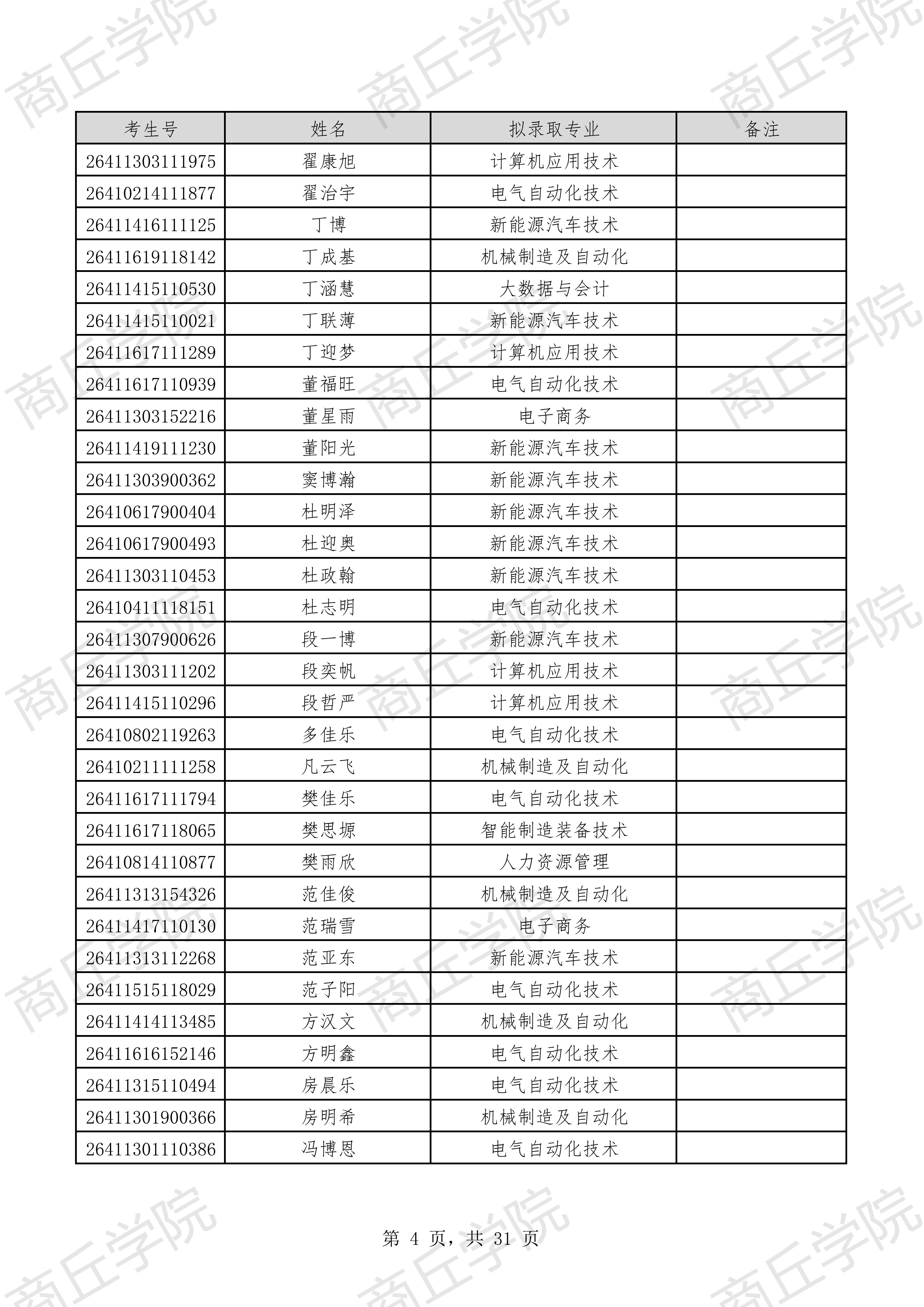
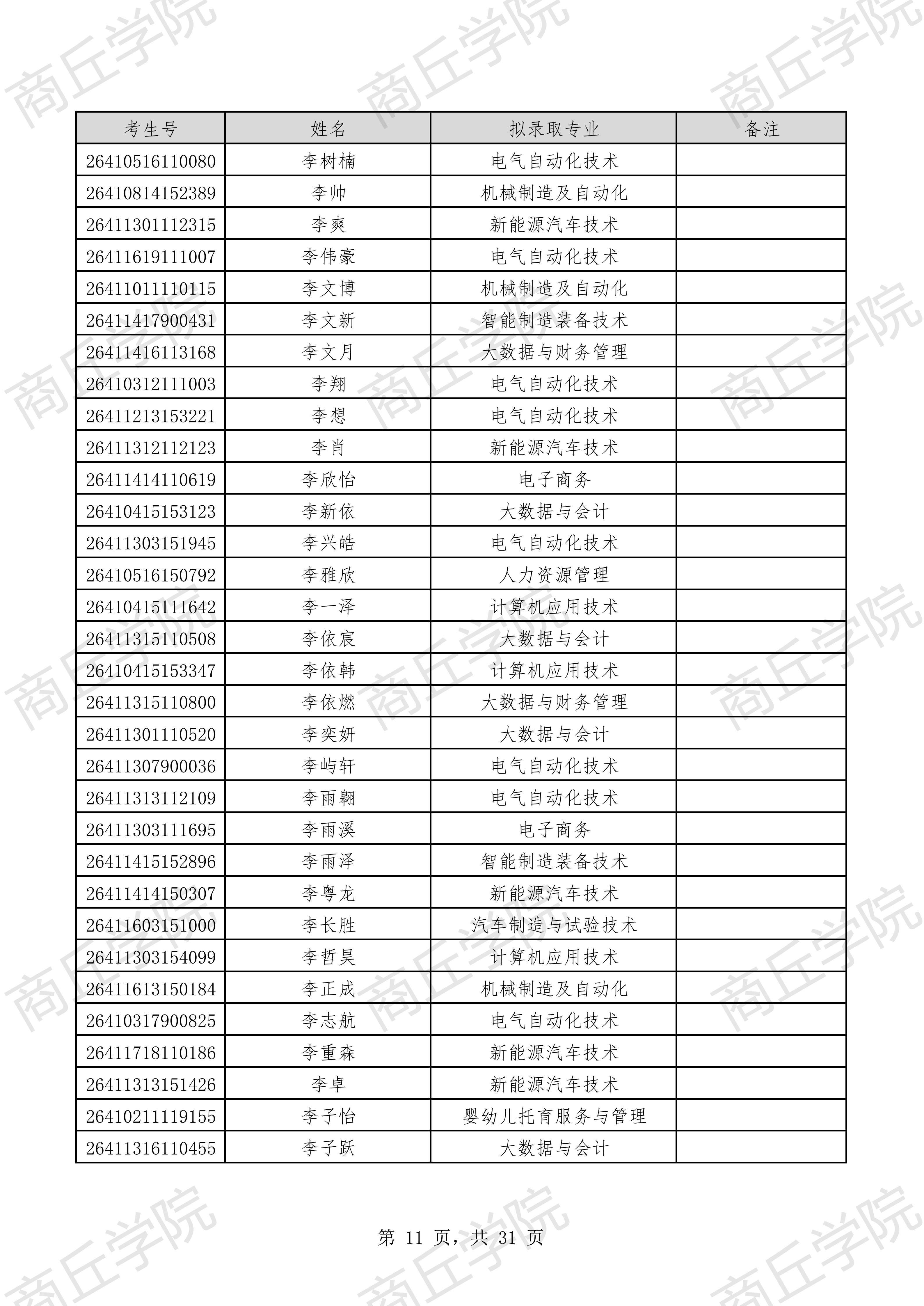
商丘学院2026年高职单招拟录取名单公示

发布时间:2026-04-30作者:zhaoban

根据《河南省教育厅关于做好2026年高等职业教育单独考试招生和技能拔尖人才免试入学工作的通知》(教学〔202634号)文件要求,经我校高职单招工作领导小组研究决定,现将我校2026年高职单招有关事项及拟录取名单公示如下:

1.公示期为20264月302026年5月9日;

2.公示期结束后,拟录取名单将上报河南省教育考试院审核;

       3.公示期间有异议者,请拨打0370-3167888。


TOP